氮氧化物廢氣凈化處理-氨堿溶液吸收法
- (一)凈化原理 首先是氨在氣相中和N 、水蒸氣反應,然后再與堿液進行吸收反應。反應式如下: (二)工藝流程 氨-堿溶液兩級吸收法工藝流程見圖8-9。 含NO2尾氣與氨氣在管道中混合
- 咨詢熱線:13262213023
-
產品詳情
(一)凈化原理
首先是氨在氣相中和N 、水蒸氣反應,然后再與堿液進行吸收反應。反應式如下:

(二)工藝流程
氨-堿溶液兩級吸收法工藝流程見圖8-9。
含NO2尾氣與氨氣在管道中混合(氨氣由鋼瓶提供經減壓后氣化進入管道),進行第一級還原反應。反應后的混合氣體經緩沖器進入堿液吸收塔,進行第二級吸收反應,吸收后的尾氣排空,吸收液循環使用。

(三)工藝操作指標
氨-堿溶液兩級吸收法的工藝操作指標見表8-14。
表8-14 氨-堿溶液兩級吸收法工藝操作指標
| 處理氣量/(m3/h) | 空速/(m/s) | 噴淋密度/[m3/(㎡·h)] | 氨氣加入量/(L/h) | 堿液回收量/(t/h) | 溢流強度/[t(m.h)] | 氣流中含NOX濃度 | 平均效率/% | |
| 入口/(mg/m3) | 出口/(mg/m3) | |||||||
| 3059 | 2.2 | 8~10 | 50~200 | .5 | 18 | 1000 | 8 | 90 |

圖8-9 氨-堿溶液兩級吸收法工藝流程
1-液氨鋼瓶;2-氨分布器;3一通風柜;4-緩沖瓶;5-風機;6-吸收塔;7一堿液循環槽;8-堿泵

(四)影響因素
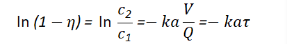
堿液吸收NOx的速率可用下式表示:
式中, C1、C2為尾氣中NO2進塔、出塔濃度,kmol/m3;;η為吸收效率;k為傳質系數,kmol/m3;Q為處理氣量,m3/s;V為自由空間容積,m3;a為填料比表面積,m2/m3τ為接觸時間,s。

當吸收設備固定時,吸收效率與下列因素有關:
(1)NOx 濃度 入口 NOx濃度高,吸收效率也高;
(2)噴淋密度 增大噴淋密度,有利于吸收反應,一般常用8-10 m3/(m2.h)
(3)空塔速度空塔速度既不宜太大,亦不可過小,取值要適宜,斜孔板塔一般取
2.2m/s;
(4)氧化度 氧化度即 NO2和NOx體積之比,氧化度為50%時,吸收效率最高;
(5)氨氣量通入的氨氣量以50~200L/h為宜。
(五)吸收液的選擇
濃度為10~100g/L的各種堿液吸收NO2反應活性有以下相對值:
KOH>NaOH>Ca(OH)>Na2CO3>K2CO>Ba(OH)>NaHCO>KHCO,>MgCO2>BaCO;>CaCO1>Mg(OH)2
1.0 0.84 0.5 1 0.35
考慮到價格、來源、操作難易(不易堵塞)及吸收效率等因素,工業上應用較多的吸收液是NaOH和Na2 CO3,尤其是Na2CO3應用更廣。盡管Na2CO3的吸收效果比NaOH的吸收效果差,但na2co3價廉易得。
若選NaOH做吸收液,則應將其濃度控制在30%以下,以免溶液中NaOH未消耗完就出現NazCO3結晶,引起管道和設備堵塞。





